Skip to main content
Close Search
Geohazards
Menu
Menu
News
Filter
All
Featured
Miscellaneous
Networking
Nezařazené
Papers
Day of Plants Fascination 2026
Join us for the Day of Plants Fascination 2026, a popular spring event that brings…
6. 5. 2026
Interdisciplinary Seminar: Communication and Risk Assessment for Natural Disasters
On March 20, 2026, the Faculty of Science hosted a specialised seminar titled “If you…
26. 3. 2026
Czech Scientists Verify the Accuracy of Lightning Monitoring from Meteosat Satellites
For the first time in history, Europe has the capability to continuously monitor lightning activity…
25. 3. 2026
Analysis of triggering factors behind the October 2023 South Lhonak GLOF event in the Sikkim Himalaya using multiple remote sensing data
A new study has identified the precise cause of the October 2023 South Lhonak Glacial…
18. 3. 2026
Assessing thermal and hydrological responses to montane peatland rewetting using UAV monitoring
This study evaluates the hydrological and thermal impacts of peatland rewetting in a montane bog…
12. 3. 2026
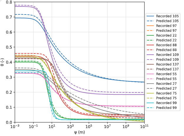
A practical AI tool for faster and physically consistent soil hydraulic predictions
Understanding how water moves through soil is essential for designing safe slopes, foundations, dams, pavements,…
4. 3. 2026
Close Menu
Home
News
Project
Workpackages
Institutions
Outputs